-->
登录/注册
首页
DayDayUp
ELSE
运维
当前位置:
首页
>
题库
单选题:指出下列程序段所表示的逻辑关系是( )。
Luz
5年前
(2021-05-10)
题库
2207
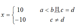
指出下列程序段所表示的逻辑关系是( )。 @[B](2)
```
if(a
{
if(c==d)
x=10;
}
else
x=-10;
```
A.
B.
C.
D.
A.
B.
C.
D.
答案:B
搜索
关键词之间使用空格分隔