计算机网络作业题
一、判断对错:
1)WDM的实质是FDM。(√)
2)在C/S模式中,客户端位于网络边缘,二服务器端位于网络核心。(×,都位于网络边缘)
二、简答题:
1)网络协议对于计算机网络十分重要,是计算机网络的重要内容。有人甚至声称学习计算机网络就是学习网络协议,那么我们到底应该如何理解网络协议?如何理解网络协议的三个基本要素?网络通信过程是网络协议完成的吗?
答:网络协议类似于我们的交通规则,为规范网络通信,数据传输而制定的共同遵守的约定。一个网络协议至少包括三要素:
语法:用来规定信息格式;数据及控制信息的格式、编码及信号电平等。
语义:用来说明通信双方应当怎么做;用于协调与差错处理的控制信息。
定时:(时序)定义了何时进行通信,先讲什么,后讲什么,讲话的速度等。比如是采用同步传输还是异步传输。不同的计算机之间必须使用相同的网络协议才能进行。
网络协议是保证通信过程能正确高效的完成,但通信过程不是网络协议完成的。类比于交通规则不会带你到杭州一样。
2)客户服务器方式与对等通信方式的主要区别是什么?有没有相同的地方?
答:前者严格区分服务和被服务者,对等通信无此区别。对等通信实际上是客户服务器方式的双向应用,即通信实体有时提供服务,有时被服务。
3)有2个站进行码分多址通信。2个站的码片序列为
A:(-1,-1,-1,+1,+1,-1,+1,+1)
B:(-1,-1,+1,-1,+1,+1,+1,-1)
现收到这样的码片序列S:(0, 0, -2,+2,0,-2,0,+2)。问哪个站发送数据了?发送数据的站发送的是0还是1?
解:S·A=(0+0+2+2+0+2+0+2)/8=1, A发送1
S·B=(0+0-2-2+0-2+0-2)/8=-1, B发送0
我们计算时需要这样算,因为接收方只有一个码片和收到的叠加序列S。
补充说明:
该编码方法和好莱坞电影明星Hedy Lamarr有关,该算法于二战期间被提出,然后被加密,解密后被高通公司用于3G技术。据说该算法提出是受钢琴键盘到启发,可见它山之石可以攻玉。有兴趣的同学可以查阅资料。
其原理需要好好理解:
设有n个站,其码片分别为X1,X2,...,Xn, Ki表示第i个码片发送情况(有三种情况:1表示发送1,-1表示发送0,0表示不发送。)
则n个站的叠加结果S=sum(Ki.Xi),由于任意两个X间是正交的,因此如果某Xj发送的1,即Kj=1,因此有Xj.S=Xj.sum(Ki.Xi)=Xj.1.Xj+0(Xj与其它码片正交为0,而Xj.Xj=1)=1。
发送0,其参数Xj=-1,其推理类似。
1、选择题:
1)下图描述的网络协议要素是

A语法 B语义 C 时序 答案:C
2)在下图所示的采用“存储-转发”方式的数据报网络中,所有链路的数据传输速率为100 Mbps,分组大小为1 000 B,其中分组头大小为20 B。若主机H1向主机H2发送一个大小为980 000 B的文件,则在不考虑分组拆装时间和传播延迟的情况下,从H1发送开始到H2接收完为止,需要的时间至少是

A 80.08ms B 80.16ms C 80.24ms D 80.32ms 答案:C
2、问答题:
如图所示网络。A在t=0时刻开始向C发送一个2Mbits的文件;B在t=0.1+e秒(e为无限趋近于0的小正实数)向D发送一个1Mbits的文件。忽略传播延迟和结点处理延迟。(本题计算时:不同用户使用路由器不同端口不需要争用,使用统一端口则需要排队,采用先来先服务)

请回答下列问题:
1) 如果图中网络采用存储-转发方式的报文交换,则A将2Mbits的文件交付给C需要多长时间?B将1Mbits的文件交付给D需要多长时间?
2) 如果图中网络采用存储-转发方式的分组交换,分组长度为等长的1kbits,且忽略分组头开销以及报文的拆装开销,则A将2Mbits的文件交付给C需要大约多长时间?B将1Mbits的文件交付给D需要大约多长时间?
3) 报文交换与分组交换相比,哪种交换方式更公平?(即传输数据量小用时少,传输数据量大用时长)
4)本例中,使用分组交换比报文交换快,你能从上面的问答中找出为什么吗?
答:
1) 由于A先发报文所以,A的报文在路由器的队列中排在B的报文前面,所以A交付2Mbits报文需要时间为:2/10+2/20+2/10=0.5s=500ms=0.5s;
B将1Mbits的文件交付给D需要时间为:1/10+2/20(排队延迟时间)+1/20+1/10=0.35s=350ms =0.35s,(第一个路由器使用同一个端口发送数据需要排队)。
2) 从t=0时刻到t=0.1s,A发送了1000个分组,用时:1000×1000/10000000=0.1s,
从t=0.1s时刻起与B共享连接路由器的链路,平均各共享到带宽10Mbps,A大约再用时:1/10+2×1000/10000000=0.1002s交付剩余的1000个分组,故A向C交付2Mbits文件大约需要(0.1+0.1002)s≈0.2s;
B向D交付1Mbits文件需要时间大约为:1/10+2×1000/10000000=0.1002s≈0.1s。
3) 报文交换时B发送的报文有等待,而A没有等待,所以该方式不如分组交换公平,其实按比例来看,在A发送的报文是B的2倍,而A发送用0.5s,按比例B发送应该是0.25s,而实际耗时0.35s比这个大;而在分组交换中差不多正好是2倍。因此分组交换比报文交换更公平。
4) 分组交换快的原因是:发送的一块数据需要在接收路由器处完全接收后才能转发,因此对于不分组的报文来说,其数据块更大,需要的发送时间更多,下一路由器只有等完全接收检测后才会转发,因此报文会更晚。(有同学讲分组转发会共享信道,报文也会共享的啊;有同学讲分组转发会并行,图示情况的有线信道,要排队的)
一.简答
1)网络带宽的单位是什么?频率带宽的单位是什么?答案:bps和hz
2)网络延迟有多少种?网络的带宽和哪种延迟相关?与传播距离有关的延迟是什么?
答案:四种延迟分别是:节点处理延迟、排队延迟、传输延迟和传播延迟。与带宽相关的是传输延迟,即发送延迟。与距离相关的是传播延迟。
二、考虑两台主机A和主机B由一条带宽为R bps、长度为M米的链路互连,信号传播速率为V m/s。假设主机A从t=0时刻开始向主机B发送分组,分组长度为L比特。试求:
1)传播延迟(时延)dp和传输延迟dt分别是多少?
2)若忽略结点处理延迟和排队延迟,则端到端延迟de是多少?
3)若dp>dt,则t=dt时刻,分组的第一个比特在哪里?
4)若V=250000km/s,L=512比特,R=100 Mbps,则使带宽时延积刚好为一个分组长度(即512比特)的链路长度M是多少?
(注:1k=10^3,1M=10^6)
答:
1)传播延迟(时延)dp=M/V;传输延迟dt=L/R;
2)端到端延迟de= L/R+M/V;
3)若dp>dt,则t=dt时刻,分组的第一个比特所在位置是:距离主机A的Vdt米的链路上;
4)带宽时延积=Rdp=RM/V=512,
因此,M=512V/R=512×250000000/100000000 =1280米。
三、
假设主机A向主机B以存储-转发的分组交换方式发送一个大文件。主机A到达主机B的路径上有3段链路,其速率分别是R1=500kbps,R2=2Mbps,R3=1Mbps。试求:
1)假设网络没有其他流量,则传送该文件的吞吐量是多少?
2)假设文件大小为4MB,则传输该文件到主机B大约需要多少时间?
(注:1k=10^3,1M=10^6)
答
1)传送该文件的吞吐量:TH=500kbps;
2)传送该文件到主机B大约需要时间:T=4×8×10^6/(500×10^3)=64s。
1、简述因特网标准制定的几个阶段?
答:
1) 因特网草案(Internet Draft) ——在这个阶段还不是 RFC 文档。
2) 建议标准(Proposed Standard) ——从这个阶段开始就成为 RFC 文档。
3) 草案标准(Draft Standard)
4) 因特网标准(Internet Standard)
2、论述具有五层协议的网络体系结构的要点,包括各层的主要功能。
答:
综合OSI 和TCP/IP 的优点,采用一种原理体系结构。各层的主要功能:
1) 物理层: 物理层的任务就是透明地传送比特流。(注意:传递信息的物理媒体不算做物理层的内容。) 物理层还要确定连接电缆插头的定义及连接法。
2) 数据链路层:数据链路层的任务是在两个相邻结点间的线路上无差错地传送以帧(frame)为单位的数据。每一帧包括数据和必要的控制信息。
3) 网络层: 网络层的任务就是要选择合适的路由,使 发送站的运输层所传下来的分组能够正确无误地按照地址找到目的站,并交付给目的站的运输层。
4) 运输层: 运输层的任务是向上一层的进行通信的两个进程之间提供一个可靠的端到端服务,使它们看不见运输层以下的数据通信的细节。
5) 应用层: 应用层直接为用户的应用进程提供服务。
3、网络体系结构采用分层次结构的好处是什么?
答:分层的好处:
1) 各层之间是独立的。某一层可以使用其下一层提供的服务而不需要知道服务是如何实现的。
2) 灵活性好。当某一层发生变化时,只要其接口关系不变,则这层以上或以下的各层均不受影响。
3) 结构上可分割开。各层可以采用最合适的技术来实现
4) 易于实现和维护。
5) 能促进标准化工作。
这和邮政系统类似
4、协议与服务有何区别?
答:
协议是控制两个对等实体进行通信的规则集。在协议的控制下,两个对等实体间的通信使得本层能够向上一层提供服务,而要实现本层协议,还需要使用下面一层提供服务。
协议和服务的概念的区分:
1)协议的实现保证了能够向上一层提供服务。本层的服务用户只能看见服务而无法看见下面的协议。下面的协议对上面的服务用户是透明的。
2)协议是“水平的”,即协议是控制两个对等实体进行通信的规则。但服务是“垂直的”,即服务是由下层通过层间接口向上层提供的。上层使用所提供的服务必须与下层交换一些命令,即使用服务接口。
1、我们计算机网络中MAC是什么意思?
答:MAC是Media Access Control的简写,即介质访问控制的意思,用以借指数据链路层。MAC地址就是指数据链路层地址,即物理地址。
2、数据链路层中的链路控制包括哪些功能?试讨论数据链路层做成可靠的链路层有哪些优点和缺点.
答:功能包括:
链路管理、帧定界、流量控制、差错控制、将数据和控制信息区分开、 透明传输、 寻址。
可靠的链路层的优点和缺点取决于所应用的环境:对于干扰严重的信道,可靠的链路层可以将重传范围约束在局部链路,防止全网络的传输效率受损;对于优质信道,采用可靠的链路层会增大资源开销,影响传输效率。
3、数据链路层的三个基本问题(帧定界、透明传输和差错检测)为什么都必须加以解决?
答:
1)帧定界是分组交换的必然要求,有定界符才能知道一帧的起止边界。
2) 透明传输避免消息符号与帧定界符号相混淆
3)差错检测防止合差错的无效数据帧浪费后续路由上的传输和处理资源,即差错帧会被扔掉。
4、对于1位的奇偶检验码,其汉明距离是多少?为什么?
答:2;
(题目有点歧义,我本意是检验位1位,如ASCII码的高八位作为奇偶校验位。有些同学理解成1位数据位;其实原理是一样的。)
除开校验位,如果两个编码的1的个数相同,不同编码至少两位不一样,而检验码是相同的;除开校验位,如果两个编码的1的个数不同,不同编码至少1位不一样,并且检验码也不同,因此编码还是至少2位不同。因此,奇偶检验码的汉明距离是2。
5、要发送的数据D为1011011010。采用CRC的生成多项式是P(X)=X^4+X+1(即10011,将x看成2,然后表示成二进制)。(需要写计算过程,注意:计算过程中没有进借位问题,位数要对其)
1)试求应添加在数据后面的余数R是多少?
2)数据在传输过程中最后一个1变成了0,问接收端能否发现?
3)若数据在传输过程中最后两个1都变成了0,问接收端能否发现?
4)采用CRC检验后,数据链路层的传输是否就变成了可靠的传输?
5)会不会传输错误数据却检测认为正确呢?
答:
1)作二进制除法,1011011011 0000 10011 得余数1100 ,添加的检验序列是1100(此处过程略,计算时需要仔细,没有进位和借位的).
2)和3)作二进制除法,两种错误均可发现,需要计算(此处略)
4)仅仅采用了CRC检验,缺重传机制,数据链路层的传输还不是可靠的传输。
5)会,这种情况我们称为假阴性。
1、MAC协议分为哪几类?分别有那些协议?
答:
1)信道划分MAC协议,即采取多路复用技术,具体如CDMA、TDMA、FDMA等
2)随机MAC协议,信道不进行划分,如后面讲的ALOHA协议,S-ALOHA协议,CSMA、CSMA/CD协议
3)轮转MAC协议:如令牌传递,蓝牙,FDDI
2、 以太网使用的CSMA/CD协议是以争用方式接入到共享信道。这与传统的时分复用TDM相比优缺点如何?
答:
传统的时分复用TDM是静态时隙分配,均匀高负荷时信道利用率高,低负荷或符合不均匀时资源浪费较大;
CSMA/CD动态使用空闲新到资源,低负荷时信道利用率高,但控制复杂,高负荷时信道冲突大。
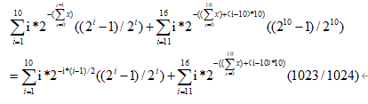
3、试推导时隙ALOHA协议的最大效率是多少?(提示:要用高等数学中求(1+1/n)^n的极限方法,然后将Np看成整体求极值)为什么非时隙ALOHA协议的效率会降低一半?
答:
1)大家做的时候是将N认为是个常数,然后针对变量p求极值。
我这里也提供另外一种思路:
时隙ALOHA协议中,设共有N个节点,每个节点在某一个时隙开始时发送数据的概率是p,那么某一个时隙开始时发送数据成功的概率是:
,整体上能成功的概率就是:
,该表达式的极值是多少呢?我们利用(1+1/n)^n的极值是e来推导,
,

当然求最大值还需求二级导来确定是极大还是极小值,我这里省略。我看同学们很少提到这一点。
当然这个结论是N比较大时得出的,如N=1,则效率肯定是百分之百。
这种题目期末考试不会出,但我是希望大家在看视频的过程中要去思考。因为老师讲课中有些地方省略掉啦。
2)对于非时隙ALOHA协议,由于其碰撞时间在2个帧时间范围内,可以用时隙ALOHA协议类似方法得出其效率为0.18。
1、ARP的功能是什么?A如何利用ARP查询IP地址为B的物理地址的?
答:
ARP协议是“Address Resolution Protocol”(地址解析协议)的缩写,基本功能就是通过目标设备的IP地址,查询目标设备的MAC地址,以保证通信的顺利进行。
A检查是否能够转化该IP地址为MAC地址,也就是在本地的ARP缓存中查看IP-MAC对应表;如果不存在该IP-MAC对应关系:
1)A进行ARP广播,目的地的MAC地址是全1,即:FF-FF-FF-FF-FF-FF,其中包含有自己的MAC地址;
2)当B接收到该ARP请求后,就发送一个ARP的应答命令,其中包含自己的MAC地址;
3)A获得B主机的IP-MAC地址对应关系,并保存到ARP缓存中;
4)A将把IP转化为MAC地址,然后封装在以太网头结构中,再把数据发送出去;
当然,超时过后会刷新,即某台电脑退出一定时间或长时间不上网后会从ARP表中将该IP-MAC对应关系删掉。
2、假定在使用CSMA/CD协议的10Mb/s以太网中某个站在发送数据时检测到碰撞,执行退避算法时选择了随机数r=100。试问这个站需要等待多长时间后才能再次发送数据?如果是100Mb/s的以太网呢?(要结合教材第三章的内容解答)
答:对于10mb/s的以太网,以太网把争用期定为51.2微秒(512bit/10mbps,512bits是帧长,即64字节),要退后100个争用期,等待时间是51.2(微秒)*100=5.12ms
对于100mb/s的以太网,以太网把争用期定为5.12微秒(512bit/100mbps),要退后100个争用期,等待时间是5.12(微秒)*100=512微秒
3、以太网上只有两个站,它们同时发送数据,产生了碰撞。于是按二进制指数退避算法进行重传。重传次数记为i,i=1,2,3,…。试计算第1次重传失败的概率、第2次重传的概率、第3次重传失败的概率,以及一个站成功发送数据之前的平均重传次数I(只列出表达式,不需要计算出结果)。
答:
第1次重传失败的概率为0.5;
第2次重传失败的概率为0.25;
第3次重传失败的概率为0.125;
成功发送数据之前的平均重传次数I为:

,该表达式值约等于1.6,所以平均重传次数并不大。
表达式说明:发送正好需要i次才能成功的概率为:前面i-1次失败概率的连乘*第i次成功概率,这是一个联合概率。
1、 以太网交换机有何特点?用它怎样组成虚拟局域网?(见上次内容)
答:以太网交换机则为链路层设备,可实现透明交换
虚拟局域网 VLAN 是由一些局域网网段构成的与物理位置无关的逻辑组。这些网段具有某些共同的需求。虚拟局域网协议允许在以太网的帧格式中插入一个 4 字节的标识符,称为 VLAN 标记(tag),用来指明发送该帧的工作站属于哪一个虚拟局域网。
2、如图表示有五个站点分别连接在三个局域网上,并且用网桥B1和B2连接起来。每一个网桥都有两个接口(1和2)。在一开始,两个网桥中的转发表都是空的。以后有以下各站向其他的站发送了数据帧:A发送给E,C发送给B,D发送给C,B发送给A。试把有关数据填写在表中。(见上次内容)

发送的帧 | B1的转发表 | B2的转发表 | B1的处理 (转发?丢弃?登记?) | B2的处理 (转发?丢弃?登记?) | ||
地址 | 接口 | 地址 | 接口 | |||
A→E | A | 1 | A | 1 | 转发,写入转发表 | 转发,写入转发表 |
C→B | C | 2 | C | 1 | 转发,写入转发表 | 转发,写入转发表 |
D→C | D | 2 | D | 2 | 写入转发表,丢弃不转发 | 转发,写入转发表 |
B→A | B | 1 | 无 | 无 | 写入转发表,丢弃不转发 | 接收不到这个帧 |
3、 一个PPP帧的数据部分(用十六进制写出,采用的是字节填充)是7D 5E FE 27 7D 5D 7D 5D 65 7D 5E。试问真正的数据是什么(用十六进制写出)?
字节填充规则(以教材上此为准,和视频有点出入):
1) 将信息字段中出现的每一个 0x7E 字节转变成为 2 字节序列(0x7D, 0x5E)。
2) 若信息字段中出现一个 0x7D 的字节, 2 字节序列(0x7D, 0x5D)。
3) 若信息字段中出现 ASCII 码的控制字符(即数值小于 0x20的字符),则在该字符前面要加入一个 0x7D 字节,同时将该字符的编码加以改变。
答:7D 5E FE 27 7D 5D 7D 5D 65 7D 5E
7E FE 27 7D 7D 65 7E
4、PPP协议使用同步传输技术传送比特串0110111111111100。试问经过零比特填充后变成怎样的比特串?若接收端收到的PPP帧的数据部分是0001110111110111110110,问删除发送端加入的零比特后变成怎样的比特串?
答:
1)011011111 11111 00
011011111011111000
2)0001110111110111110110
000111011111 11111 110
1.
1)网络层向上提供的服务有哪两种?2)比较其优缺点。
答:
1) 网络层向运输层提供 “面向连接”虚电路(Virtual Circuit)服务或“无连接”数据报服务。
2)
“面向连接”虚电路:预约了双方通信所需的一切网络资源。优点是能提供服务质量的承诺。即所传送的分组不出错、丢失、重复和失序(不按序列到达终点),也保证分组传送的时限,缺点是路由器复杂,网络成本高;
数据报服务:无网络资源障碍,尽力而为,优缺点与前者互易。
2.1)网络互连有何实际意义?2)进行网络互连时,有哪些共同的问题需要解决?
答:
1) 网络互联可扩大用户共享资源范围和更大的通信区域
2)进行网络互连时,需要解决共同的问题有:
不同的寻址方案,不同的最大分组长度,同的网络接入机制,不同的超时控制,不同的差错恢复方法,不同的状态报告方法,不同的路由选择技术,不同的用户接入控制,不同的服务(面向连接服务和无连接服务),不同的管理与控制方式。
3、解释数据报网络中什么是最长前缀匹配优先?
答:数据报网络中数据传送过程经过某路由器时,将目的IP地址和路由表(转发表)中的目的路由地址范围(即网络地址,转换成2进制)进行比较,优先选择匹配前缀最长的接口。
1、试辨认以下IP地址的网络类别。
(1)128.36.199.3 (2)21.12.240.17 (3)193.194.76.253
答:(1) :B类
(2) :A类
(3) :C类
2、从IP头部格式来看,如何理解片偏移为何以8字节为单位?
答:
因为片偏移占13位,而总长度占16位(有同学讲最大长度为65535,即2^16 - 1,其实编号可以从0~65535,数据总长应该可以到65536),为了让片偏移能和总长度表示长度一致,因此片偏移必须以以8字节为单位。((2^16)/(2^13)=2^3=8,可不是(2^16-1)/(2^13-1)约等于2^3))
3、一个数据报长度为5000字节(固定首部长度)。现在经过一个网络传送,但此网络能够
传送的最大数据长度为1500字节。试问应当划分为几个短些的数据报片?各数据报片的总长度、数据字段长度、MF标志和片偏移字段应为何数值?
答:分为4片
IP数据报固定首部长度为20字节
总长度(字节) | 数据长度(字节) | MF | 片偏移 | |
数据报片1 | 1500 | 1480 | 1 | 0 |
数据报片2 | 1500 | 1480 | 1 | 185 |
数据报片3 | 1500 | 1480 | 1 | 370 |
数据报片4 | 560 | 540 | 0 | 555 |
1、设某路由器建立了如下路由表:
目的网络 子网掩码 下一跳
128.96.39.0 255.255.255.128 接口m0
128.96.39.128 255.255.255.128 接口m1
128.96.40.128 255.255.255.128 R2
192.4.153.0 255.255.255.192 R3
*(默认) —— R4
现共收到3个分组,其目的地址分别为:
(1)128.96.39.126
(2)128.96.40.190
(3)128.96.40.111
分别计算其下一跳。
答:
(1)分组的目的站IP地址为:128.96.39.126。先与子网掩码255.255.255.128相与,得128.96.39.0,可见该分组经接口m0转发。
(2)分组的目的IP地址为:128.96.40.190。
① 与子网掩码255.255.255.128相与得128.96.40.128,不等于128.96.39.0,28.96.39.128。
② 与子网掩码255.255.255.128相与得128.96.40.128,经查路由表可知,该项分组经R2转发。
(3)分组的目的IP地址为:128.96.40.111,与子网掩码255.255.255.128相与后得128.96.40.0,与子网掩码255.255.255.192相与后得128.96.40.0,经查路由表知,该分组转发选择默认路由,经R4转发。
2、有如下的4个/24地址块,试进行最大可能性的聚集。
212.56.132.0/24
212.56.133.0/24
212.56.134.0/24
212.56.135.0/24
答:
前两个字节都相同,是共同的前缀;第三个字节分别为:
132=(10000100)2,
133=(10000101)2
134=(10000110)2,
135=(10000111)2
所以共同的前缀有22位,即11010100 00111000 100001(由于1B=8比特,此字节后面需补两个0),聚合的CIDR地址块是:212.56.132.0/22
3、NAT协议的作用是什么?
答:
该协议为网络地址转换,即将内网的虚拟地址(即内网地址或局部地址,不能用作有效地址)和网关处的全局地址进行了转换,网关的作用有点像代理人的作用。因此,NAT的作用主要为:
(1)节省了有效IP地址。
(2)因为,内网可以访问外网,但外网用该局部地址则不能访问。一定意义上具有安全保护作用。
1、如图所示网络。

请回答下列问题:
(1)主机在配置IP地址时,其正确的子网掩码和默认网关分别是多少?
(2)若路由器R在向互联网转发一个由主机192.168.1.5发送、ID=12345、length=500B、DF=1的IP分组时,则该IP分组首部的哪些字段会被修改?如何修改?
答:
(1):子网掩码为/28,即1111...110000(28个1),即255.255.255.240,默认网关为:192.168.1.1(这是一个内网地址,要看内网连接到哪个接口,因此不是130.11.22.3)
(2):500B<MTU,并且DF=1不允许分片,结合IP数据报格式来看,在R处是一个NAT网关,需要转换IP地址,即源地址要从192.168.1.5改为NAT对外的全局地址130.11.22.3;另外,TTL要减一,由于IP首部有改变,因此首部检验和要重新计算。
2、已知地址块中的一个地址是140.120.84.24/20。试求这个地址块中的最小地址和最大地址。地址掩码是什么?地址块中共有多少个地址?相当于多少个C类地址?
答:
140.120.84.24/20,其前两个字节共16位,因此第三个字节中有4位为网络位,84表示为: (0101 0100)2,因此:
最小地址是 140.120.(0101 0000).0/20 (80)=140.120.80.0
最大地址是 140.120.(0101 1111).255/20 (95)=140.120.95.255
地址数是:2^12(主机位:32-20=12)=4096.一个C类地址的主机位为8位,而主机位为12,相当于2^4(12-8=4)个C类地址(一个C类地址包含2^8=256台主机号),即16个C类地址。
3、简单说明ICMP协议的作用
答:ICMP:该协议主要用于在主机与路由器之间传递控制信息,包括报告错误、交换受限控制和状态信息等,其目的就是让我们能够检测网路的连线状况。
1、假定网络中的路由器B的路由表有如下的项目(这三列分别表示“目的网络”、“距离”和“下一跳路由器”)
N1 7 A
N2 2 C
N6 8 F
N8 4 E
N9 4 F
现在B收到从C发来的路由信息(这两列分别表示“目的网络”“距离”):
N2 4
N3 8
N6 4
N8 3
N9 5
试求出路由器B更新后的路由表(详细说明每一个步骤,格式仍为:“目的网络”、“距离”和“下一跳路由器”)。
答:
路由器B更新后的路由表如下:
N1 7 A 无新信息,不改变
N2 5 C 相同的下一跳,更新
N3 9 C 新的项目,添加进来
N6 5 C 不同的下一跳,距离更短,更新
N8 4 E 不同的下一跳,距离一样,不改变
N9 4 F 不同的下一跳,距离更大,不改变
2、路由时,在距离向量DV的无穷计数问题指的是什么?毒性逆转是如何解决该问题的?结合视频中的图例解释:
答:
无穷计数问题指的是坏消息传得慢的问题,其实质是当某条线路出现问题(不妨按视频中是Y到X,如下图),如Y到X不可达(也可是距离急剧变大),现在Y路由器收到Z路由器告诉他距离可以变小,而实质上路由器Z的该条路径的下一跳是Y自己,因此路由信息会在Y,Z之间兜圈,最后Y终于明白X不可达,这就是坏消息传得慢的问题,即无穷计数问题。(具体图我这里省略)
毒性逆转的基本思想是:如果Z的最短路径要通过邻居Y,那么它将告诉Y自己到目的节点的距离是无穷。也就避免了无穷计数问题。
1、RIP和OSPF的区别
答:两个协议都是内部网关协议。其区别有如下一些:
1)RIP:数跳数(16为无穷大);OSPF:计算链路的度量值(可以是带宽、距离、时延等);
2)RIP:定时仅和相邻路由器交换信息;当路由信息有变化时, OSPF向本自治系统所有路由器发送消息,不存在“坏消息传播得慢”的问题,更新过程的收敛性得到保证。
3)OSPF路由器之间交换的分组(如链路状态更新分组)都具有鉴别功能,因而保证了仅在可信赖的路由器之间交换链路状态信息;而RIP不具有该功能;
4)OSPF的链路数据库能较快地进行更新,使每个路由器能及时更新其路由表,OSPF的更新过程收敛得快是其重要优点。而由于RIP仅仅向邻居路由器发送路由信息,因此收敛得慢;
5)为了使 OSPF 能够用于规模很大的网络,OSPF 将一个自治系统再划分为若干个更小的范围,叫作区域。利用洪泛法交换链路状态信息的范围局限于每一个区域而不是整个的自治系统,减少了整个网络上的通信量,减轻路由器的负担。而RIP不具有该功能。
2、RIP和OSPF协议中会不会出现无穷计数问题?
答:RIP有无穷计数问题,而OSPF没有。
1、试说明UDP协议首部中伪首部的作用。
答:用于计算运输层数据报校验和。
2、试举例说明有些应用程序愿意采用不可靠的UDP,而不用采用可靠的TCP。
答:如语音、视频等流媒体信息具有一定的冗余度,人耳对语言、视频等数据报损失由一定的承受度,但对传输时延的变化较敏感。
有差错的UDP数据报在接收端被直接抛弃,TCP数据报出错则会引起重传,可能带来较大的时延扰动。
因此声音、视频等协议宁可采用不可靠的UDP,而不愿意采用可靠的TCP。
3、一UDP用户数据报的首部十六进制表示是:06 31 00 35 00 1C E2 17.试求源端口、目的端口、用户数据报的总长度、数据部分长度。这个用户数据报是从客户发送给服务器发送给客户?使用UDP的这个服务器程序是什么(查电子书)?
解:源端口06 31:十进制为1585,目的端口 00 35:十进制为53,UDP用户数据报总长度28字节,数据部分长度20字节。
此UDP用户数据报是从客户发给服务器(因为目的端口号<1023,是熟知端口)、服务器程序是DNS。
1、可靠数据指的是什么?
答:数据不错、不丢、不乱序。
2、在停止等待协议中如果不使用编号是否可行?为什么?
答:分组和确认分组都必须进行编号,才能明确哪个分则得到了确认。
3、传输层采用GBN(累积确认的)协议,当计时器超时时,若发送方只收到0, 1, 2,3和5号帧的确认,则下一次从哪个分组开始发送?
答:6
4、主机A向主机B连续发送了两个TCP报文段,其序号分别为60和100。试问:
(1) 第一个报文段携带了多少个字节的数据?
(2) 主机B收到第一个报文段后发回的确认中的确认号应当是多少?
(3) 如果主机B收到第二个报文段后发回的确认中的确认号是190,试问A发送的第二个报文段中的数据有多少字节?
(4) 如果A发送的第一个报文段丢失了,但第二个报文段到达了B。B在第二个报文段到达后向A发送确认。试问这个确认号应为多少?
答:
(1)第一个报文段的数据序号是60到99,共40字节的数据。
(2)确认号应为100.
(3)90字节。
(4)60
1、
(1)TCP的序号不重复使用的条件下,发送文件大小L的最大值L_max是多少?
(2)当传送的数据超过L_max时,数据序号该怎么填写?
解:(1)由TCP协议头部格式可以看出序号共32位,因此L_max的最大值是2^32=4GB.
(2)当传送数据超过L_max时,使用数据分组的首部序号mod 2^32。
2、为什么在TCP首部中有一个head len(即首部长度)字段,而UDP的首部中就没有这个这个字段?
答:TCP首部除固定长度部分外,还有可选项,因此TCP首部长度是可变的。UDP首部长度是固定的。
3、假定使用连续自动重传请求协议,发送窗口大小为5,而序列范围[0,15],而传输媒体保证在接收方能够按序收到分组。在某时刻,接收方,下一个期望收到序号是8.
试问:
在发送方的发送窗口中可能有出现的序号组合有哪几种(窗口区间可以用[x,y]形式表示)?
答:
由于接收方期望收到的下一个序号是8,而窗口大小为5,表示已经收到了序号为[3,7]的分组,因此发送端最小窗口序号是[3,7],即此时3到7的确认发送方都还未收到;而最大的情况是发送方收到ACK是8,此时发动窗口后期序号是[8,12].
因此可能有出现的序号组合有:[3,7],[4,8],[5,9],[6,10],[7,11],[8,12]。
1、在TCP的拥塞控制中,简答什么是:
1)慢开始?2)拥塞避免?3)快重传?4)快恢复算法?5) “乘法减小”?6)“加法增大”?
答:1)慢开始:
在主机刚刚开始发送报文段时可先将拥塞窗口cwnd设置为一个最大报文段MSS的数值(即开始时窗口值设为1)。在每收到一个对新的报文段的确认后,将拥塞窗口增加至多一个MSS的数值(即RTTcwnd就加倍)。用这样的方法逐步增大发送端的拥塞窗口cwnd,可以使分组注入到网络的速率更加合理。
2)拥塞避免:
当拥塞窗口值大于慢开始门限时,停止使用慢开始算法而改用拥塞避免算法。拥塞避免算法使发送的拥塞窗口每经过一个往返时延RTT就增加一个MSS的大小。
3)快重传算法规定:
发送端只要一连收到三个重复的ACK即可断定有分组丢失了,就应该立即重传丢手的报文段而不必继续等待为该报文段设置的重传计时器的超时。
4)快恢复算法:
当发送端收到连续三个重复的ACK时,就重新设置慢开始门限 ssthresh,与慢开始不同之处是拥塞窗口 cwnd 不是设置为 1,而是设置为ssthresh的一半。然后执行拥塞避免的加法增大。
5)乘法减小:
是指不论在慢开始阶段还是拥塞避免阶段,只要出现一次超时(即出现一次网络拥塞),就把慢开始门限值 ssthresh 设置为当前的拥塞窗口值减半。当网络频繁出现拥塞时,ssthresh 值就下降得很快,以大大减少注入到网络中的分组数。
6)加法增大:
是指执行拥塞避免算法后,拥塞窗口 cwnd达到 ssthresh时,在收到对所有报文段的确认后(即经过一个往返时间),就把拥塞窗口 cwnd增加一个 MSS 大小,使拥塞窗口缓慢增大,以防止网络过早出现拥塞。
2.
TCP的拥塞窗口cwnd大小与传输轮次n的关系如下表所示:
cwnd n | 1 1 | 2 2 | 4 3 | 8 4 | 16 5 | 32 6 | 33 7 | 34 8 | 35 9 | 36 10 | 37 11 | 38 12 | 39 13 |
cwnd n | 40 14 | 41 15 | 42 16 | 21 17 | 22 18 | 23 19 | 24 20 | 25 21 | 26 22 | 1 23 | 2 24 | 4 25 | 8 26 |
(1)指明TCP工作在慢开始阶段的时间间隔(时间间隔用[x,y]区间形式表示)。
(2)指明TCP工作在拥塞避免阶段的时间间隔。
(3)在第16轮次和第22轮次之后发送方是通过收到三个重复的确认还是通过超时检测到丢失了报文段?
(4)在第1轮次,第18轮次和第24轮次发送时,门限ssthresh分别被设置为多大?
(5)在第几轮次发送出第70个报文段?
(6)假定在第26轮次之后收到了三个重复的确认,因而检测出了报文段的丢失,那么拥塞窗口cwnd和门限ssthresh应设置为多大?
答::
(1) 慢开始时间间隔:【1,6】和【23,26】
(2) 拥塞避免时间间隔:【6,16】和【17,22】
(3) 在第16轮次之后发送方通过收到三个重复的确认检测到丢失的报文段。在第22轮次之后发送方是通过超时检测到丢失的报文段。
(4) 在第1轮次发送时,门限ssthresh被设置为32
在第18轮次发送时,门限ssthresh被设置为发生拥塞时的一半,即21.(42的一半)
在第24轮次发送时,门限ssthresh是第18轮次发送时设置的13(26的一半)
(5) 第70报文段在第7轮次发送出。
(6) 拥塞窗口cwnd和门限ssthresh应设置为8的一半,即4.(乘法减小)
1、客户机/服务器结构各自特点是什么?(意思差不多就行)
答:
服务器:
1)全天候的提供服务
2)IP和域名固定
3)需要大量服务器实现可扩充
客户机:
1)使用服务器的服务
2)间断性的访问网络
3)IP地址可以变化
4)不会直接和其它客户机通信
2、纯P2P结构的特征是什么?
答:
1)没有服务器
2)任意节点间可以直接通讯
3)节点接入也是间歇性的
4)节点IP可以改变
3、World wide web是谁创立的(我们称其为万维网之父)?他获得了哪年的图灵奖?
答:蒂姆·伯纳斯-李(Tim Berners-Lee),2016(2017年宣布)
4、分析域名:http://jwc.zjhu.edu.cn/lianjie.html,那部分是主机名,那部分是路径名?
答:http://jwc.zjhu.edu.cn是主机,lianjie.html是路径名
5、持久性HTTP相对于非持久性HTTP的主要优点是什么?
答:由于非持久性HTTP连接需要先建立框架,然后才重新发起连接下载网页中的各个嵌入对象,如图片。而持久性HTTP建立框架后保持连接,不需要多次 建立连接,因此它更省时。
1、假定要从已知的URL获得一个万维网文档。若该万维网服务器的Ip地址开始时并不知道。试问:除 HTTP外,还需要什么应用层协议和传输层协议?
答:
应用层协议:需要DNS进行域名解析。
运输层协议:UDP(DNS)使用和TCP(万维网使用HTTP协议)。
2、试简述SMTP通信的三个阶段的过程。
答:
1) 连接建立:连接是在发送主机的 SMTP 客户和接收主机的 SMTP 服务器之间建立的。SMTP不使用中间的邮件服务器。
2)邮件传送。
3)连接释放:邮件发送完毕后,SMTP 应释放 TCP 连接。
3、试述邮局协议POP的工作过程?
答:POP 使用客户机服务器的工作方式。在接收邮件的用户的PC 机中必须运行POP 客户机程序,而ISP 的邮件服务器中则运行POP 服务器程序。
1)POP 服务器只有在用户输入鉴别信息(用户名和口令)然后才允许对邮箱进行读取。
2)读取邮件
3)释放连接
1、P2P网络有很多应用,如网络电视、skype以及区块链。那么什么是对等网?
答:
网络的参与者共享他们所拥有的一部分硬件资源(处理能力、存储能力、网络连接能力、打印机等),这些共享资源通过网络提供服务和内容,能被其它对等节点(Peer)直接访问而无需经过中间实体。它颠覆了传统的C/S模型。P2P是架构于现有网络之上的覆盖网(overlay),不同对等网其结构不同。
2、我们知道P2P是为了解决C/S模式的中心化问题而设计的,而音乐共享P2P软件Napster却采用的是集中式索引方式,这是后和集中式的C/S模式没有区别?为什么?
答:
两者是不同的。
C/S是下载时采用集中式的,即客户端只能向服务器申请下载内容。
Napster的集中式只是索引的集中,而下载时是分布式的,索引包括IP地址—内容的映射,即某节点包含某音乐,这个索引由一台服务器专门管理 。而内容下载时是对等的,即任意两节点间都可以提供服务,没有严格的服务器、客户机的区分。当然这种索引方式也不是很好,后来的Chord,CAN,PASTRY等对等网都采用的非集中式(并非flooding,有相应的算法)。
3、Napster这种集中式索引存在的问题是什么?
答:
1)单点失效问题,即索引服务器出问题后系统瘫痪,不要只认为C/S才会有单点失效问题
2)性能瓶颈问题,即当用户很多时,向服务器查询索引时比较忙,这种忙肯定不如C/S忙,因为下载时并不是向服务器下载的。
3)版权问题
1、下列Socket API函数中,只可以在客户端调用的是 ( )
A. connect()
B. bind()
C. listen()
D. socket()
答:A
2、下列Socket API函数中,只可以在服务器端调用的是 ( )
A. recv()
B. accept()
C. send()
D. listen()
答:B、D
3、socket编程中connect()可以用于客户端,因此UDP协议是一个面向连接的服务。请问该表述正确与否?为什么?
答:
不对。
connect()只是指定连接到哪一个服务器而已。
4、画出SocketAPI(TCP)调用的基本流程
答: